システム奮闘記:その105
(2016年5月22日に掲載)
物理と対象性
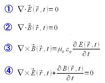
微分形式の所で、物理法則の裏にある数学を書きました。 ここでは対象性の観点で見てみる事にした。 そのきっかけはラングランズ・プログラムを知ったからだ。 2015年12月に放送されたテレビ番組「NHK 数学ミステリー白熱教室」の 第四回目の「数学と物理学 驚異のつながり」では 真空中のマックスウェルの方程式を例に出していた。 マックスウェルの方程式の話では書いていなかったのだが 真空中のマックスウェルの方程式には秘密が隠されているというのだ。
| 真空中のマックスウェルの方程式 |
|---|
![]() |
この時点では、私は何も気づかなかった。
番組では・・・
マックスウェルの方程式の対称性
があるというのだ。
もう1度、マックスウェルの方程式を見る。
| 真空中のマックスウェルの方程式の対称性 |
|---|
![]() |
|
(1)、(2)の式だと電場(E)と磁束密度(B)を交換しても同じになる。対称性がある。 (3)、(4)も、式としては似ている感じがする。 |
だが、番組では、もっと単純化したマックスウェルの方程式を使っていた。
| 単純化した真空中のマックスウェルの方程式の対称性 |
|---|
![]() |
|
誘電率と透磁率を、共に「1」にして単純化している。 そして磁束密度を負の符号をつけた「-B」にしている。 負にしても本質は変わらないからだ。 すると電場と磁束密度を入れ替えても、全く同じ式になる。 これがマックスウェルの方程式の対称性だという。 |
そんなの全く思いつかへん!! だった。驚きだ。 実はマックスウェルの方程式の対称性については・・・ マックスウェル自身、気づかへんかった! というのだ。天才でも気づかない事なので、ただの人の私が気づかなくても気にしない。 対称性といえば、ポテンシャル関数も中心対称になっている。 ポアソンの方程式、ラプラス方程式で書いた事を復習してみる。 点電荷のポテンシャル関数は・・・ 電荷を中心とした中心対称 になるのだ。 対称性を頭に入れて物理法則を見たら、面白くなりそうなのだ。群論と対称性
ところで番組では、素粒子の性質は、数学理論(特に対称性)によって後押しされたという。 素粒子の性質と群論が当てはまる事から、素粒子の存在を予言したという。 抽象的な世界を探求する純粋数学と 現実世界を探求する物理学が つながっている というのだ。 数学の全ての分野の大統一という野望ならぬ計画のことを ラングランズ・プログラム というのだ。 番組に出演していたカルフォルニア大学のエドワード・フレンケル教授が 「数学理論から物理法則が明らかになる」と述べていた。 番組の内容は以下のサイトで見れるので、興味のある方はご覧ください。 数学ミステリー白熱教室(最終回)第4回 数学と物理学 驚異のつながり 物理法則の裏に隠れている数学理論。そして数学理論の大統一。 大統一理論の完成という野望を考えている学生さんは、是非、挑戦してみるのも良いかも。 感化された私。群論に挑戦してみた。 それだけでなく外積代数の話を知ろうと思い 代数学 - [物理のかぎしっぽ]を読んでいったのだが・・・ 途中で挫折 してしまったのだ。 量子力学を理解するのには群論が欠かせない。 それだけでなく、化学でも群論は必要になる。 前途多難な感じがしてしまった。
電磁気学入門の目次
| 電磁気学入門:目次 | |
|---|---|
| スカラーとベクトル | 簡単なスカラーとベクトルの話です。 ベクトルは方向と大きさを持つ量。方向という量持っているだけに注意が必要です。 |
| 静電気の発見からクーロンの法則 | 今でこそ当たり前の静電気や導体、絶縁体、電荷など どういう経緯で発見し、クーロンの法則まで至ったのかの話です。 |
| クーロン力、電場、近接作用 | 4つの力のうち、クーロン力の位置づけ 電荷が作り出す作用の電場。近接作用の話です。 |
| 微分、全微分、方向微分 | 簡単な微分、全微分、方向微分の話です。 ここをしっかり押さえないと、電磁気の数式の意味が わからなくなります。 |
| ベクトル解析 |
電磁気に必要なベクトル解析の話です。 勾配(grad)、2次元のグリーン定理 ストークスの定理の話です。 |
| 電位ポテンシャル | 電位ポテンシャルです。勾配と電場の関係を使って説明しています。 |
| 電気双極子 |
電気双極子の話です。 物質中で起こる分極を理解するのに必要です。 |
| ガウスの法則 | ガウスの法則の積分形、微分形の話です。 |
| ポアソンの方程式、ラプラス方程式 |
ポアソンの方程式、ラプラス方程式の話です。 単に電荷分布から電位を求めるだけの話にとどまらない 奥が深い分野です。ポテンシャル論、デルタ関数 グリーン関数、固有値問題について触れています。 |
| 静電場と渦なしの法則 |
静電場で、電荷を1周させた時の仕事はゼロ 微分形と微分形の渦なしの法則の話です。 |
| ビオサバールの法則 |
電気と磁場の関係の発見の話から ビオ・サバールの法則が導かれるまでの話です。 |
| 磁気双極子 |
磁気双極子の話で、回転電流になります。 物質中の磁場の話にも関連します。 |
| アンペールの法則 |
アンペールの法則の話です。 積分形・微分形だけでなく、閉回路に流れる電流が作る 磁気双極子の話なども書いています。 |
| ローレンツ力 |
磁場中を移動する電荷にかかる力(ローレンツ力)の話です。 ローレンツ力は相対性理論が絡んでいる事も紹介しています。 |
| ファラデーの誘導起電力の法則 | ファラデーの誘導起電力の話です。 |
| うず電流を使った簡単な物理実験 | 電力計に使われるアラゴの円盤。 そしてIH調理器で熱するために発生させる、うず電流は レンツの法則から電流が発生する原理を応用した物だ。 アラゴの円盤の実験と、IH調理器を使った実験です。 気分転換で読んでください。 |
| ベクトルポテンシャル |
わかりにくいベクトルポテンシャルの話です。 電位は電荷が作る電気のポテンシャルだが ベクトルポテンシャルは電流が作る磁場のポテンシャルの話です。 |
| オームの法則の微分形 | 微小領域でのオームの法則の話です。 |
| マックスウェルの方程式 |
4つのマックスウェルの方程式を書いています。 電場と磁場の変化を図にする事で rotの回転の意味も理解できます。 |
| ゲージ変換 |
ゲージ(gauge)は物差しの意味です。 マックスウェルの方程式をE(電場)とB(磁場)の関係式から φ(電位ポテンシャル)とA(ベクトルポテンシャル)の関係式に 書き換える際、ゲージ変換が使われます。 ゲージ変換の役目を書きました。 |
| 電磁波 |
マックスウェルの方程式から電波が伝わる様子を 視覚的に見てみる話です。 |
| 回転のrotはベクトルの微分 |
ベクトル解析や渦なしの法則で出てくるrotは ベクトルの微分という話です。 |
| 電磁気学の単位系 | 電磁気学の単位系の話です。 物理量の単位系の指数を見る次元解析 電磁気学の歴史と単位系の変遷について触れました。 |
| 電気泥棒:電気と法律の話 |
電気は物体なのか、無形物なのか。 明治時代に、電気を無断で使った場合、物か、そうでないかで 窃盗罪になるかどうかが裁判で問われました。 ちょっとした科学と法律の話です。気分転換で読んでください。 |
| 数ベクトルと基底ベクトル | ベクトルの話です。 矢印だけがベクトルでない事。 数ベクトルと基底ベクトルの違いの話です。 多様体、反変・共変ベクトルを理解するのに必要です |
| 多様体 | 空間を一般化した話です。 ▽(ナブラ)の正体に迫まります |
| 外積代数 |
外積、テンソルについて書いています。 極性ベクトル、軸性ベクトル 外積は行列で、ベクトルは見せかけの姿だった話です。 |
| ベクトルの双対関係 |
反変ベクトル、共変ベクトル、双対関係 ベクトル解析、外積代数の話 外積、テンソルについて書いています。 |
| ローレンツ力と相対性理論 |
磁場は電場の相対論的効果だった話です。 ローレンツ力を使って、導線が作る磁場を使って説明です。 |
| 微分形式 |
多様体の話の続きです。 座標に依存しない形での関数やベクトルの微分の話です。 ガウスの法則、アンペールの法則、マックスウェルの方程式が 鮮やかな形で表現できます。 ∇(ナブラ)の正体もわかります。 |
| 物理と対称性 |
マックスウェルの方程式をよく見ると対称性があります。 物理の方程式と対称性を数学的な観点でみると 意外なつながりがあるという話です。 |
| マックスウェルの応力 |
電気力線を弾性体(ゴム)とみなして、力の伝わり方などを 説明した考え方です。 |
| 電場エネルギー | 電場が持つエネルギーの式を導いた話です。 |
| 磁場エネルギー |
磁場が持つエネルギーの式です。 手抜きの説明と、直流RL回路を使った説明を書きました。 |
| ポインティングベクトル |
電磁エネルギーの流れ「ポインティングベクトル」の話です。 電磁波でもエネルギー保存則が成り立つ話から ポインティングベクトルを導いています。 |
| 電気エネルギーは導線の外を伝わる |
導線の外を電気エネルギーが流れる話です。 私が誤解した事、その誤解を解いていく過程を紹介しながら 「目からウロコ」にたどり着いた話です。 |
| 物質中の電場 | 物質中の電場の話です。 分極の話をしながら、物質中の電場の話をします |
| 物質中の磁場 | 磁性の話をしながら、物質中の磁場の話をします |
| 物質中のマックスウェルの方程式 | 物質中でもマックスウェルの方程式が成り立つ話です。 |
| 導体に侵入する電磁波 |
導体に侵入する電磁波が減衰していく話です。 表皮効果と同じ「表皮の厚さ」が出てきます |
| 表皮効果 |
目的の表皮効果の話です。 マックスウェルの方程式を解きながら 交流電流の周波数を上げると、表面にしか電流が流れなくなる話です。 |